teorema de l’hôpital
Esercizio 9 – Teorema di De L’Hôpital: applicazioni forma indeterminata zero per infinito
Esercizio 8 – Teorema di De L’Hôpital: applicazioni forma indeterminata infinito su infinito
Esercizio 7 – Teorema di De L’Hôpital: applicazioni forma indeterminata infinito su infinito
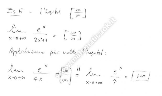
Esercizio 6 – Teorema di De L’Hôpital: applicazioni forma indeterminata infinito su infinito
Esercizio 4 – Teorema di De L’Hôpital: applicazioni forma indeterminata 0 su 0
Esercizio 3 – Teorema di De L’Hôpital: applicazioni forma indeterminata 0 su 0
Esercizio 2 – Teorema di De L’Hôpital: applicazioni forma indeterminata 0 su 0
Esercizio 1 – Teorema di De L’Hôpital: applicazioni forma indeterminata 0 su 0
Teorema di De L’Hôpital
Siano date due funzioni f(x) e g(x), che supponiamo definite e derivabili in tutti i punti di un intorno I del punto c (finito o infinito), escluso al più c stesso. Supponiamo inoltre che che il limite del rapporto delle due funzioni,si presenti in una forma indeterminata del tipo [0 su 0] oppure [infinito su infinito] e sia g'(x)≠0 in tutti i punti di I, escluso al più x = c. In tali ipotesi, se…








