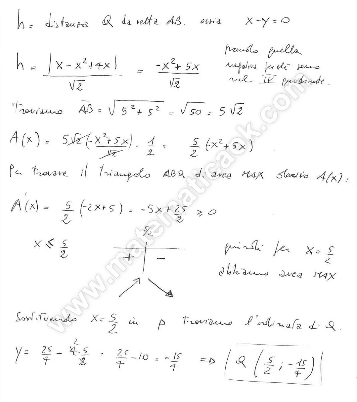
Dopo aver determinato le coordinate dei punti base A e B del fascio di parabole y(a+1) + 2ax² – x(11a+1) = 0, scrivi l’equazione della parabola p del fascio che ha per asse la retta x=2. Nel segmento parabolico delimitato da p e dalla retta AB inscrivi poi il triangolo ABQ di area massima.
Esercizio 14 – Problema di massimo


