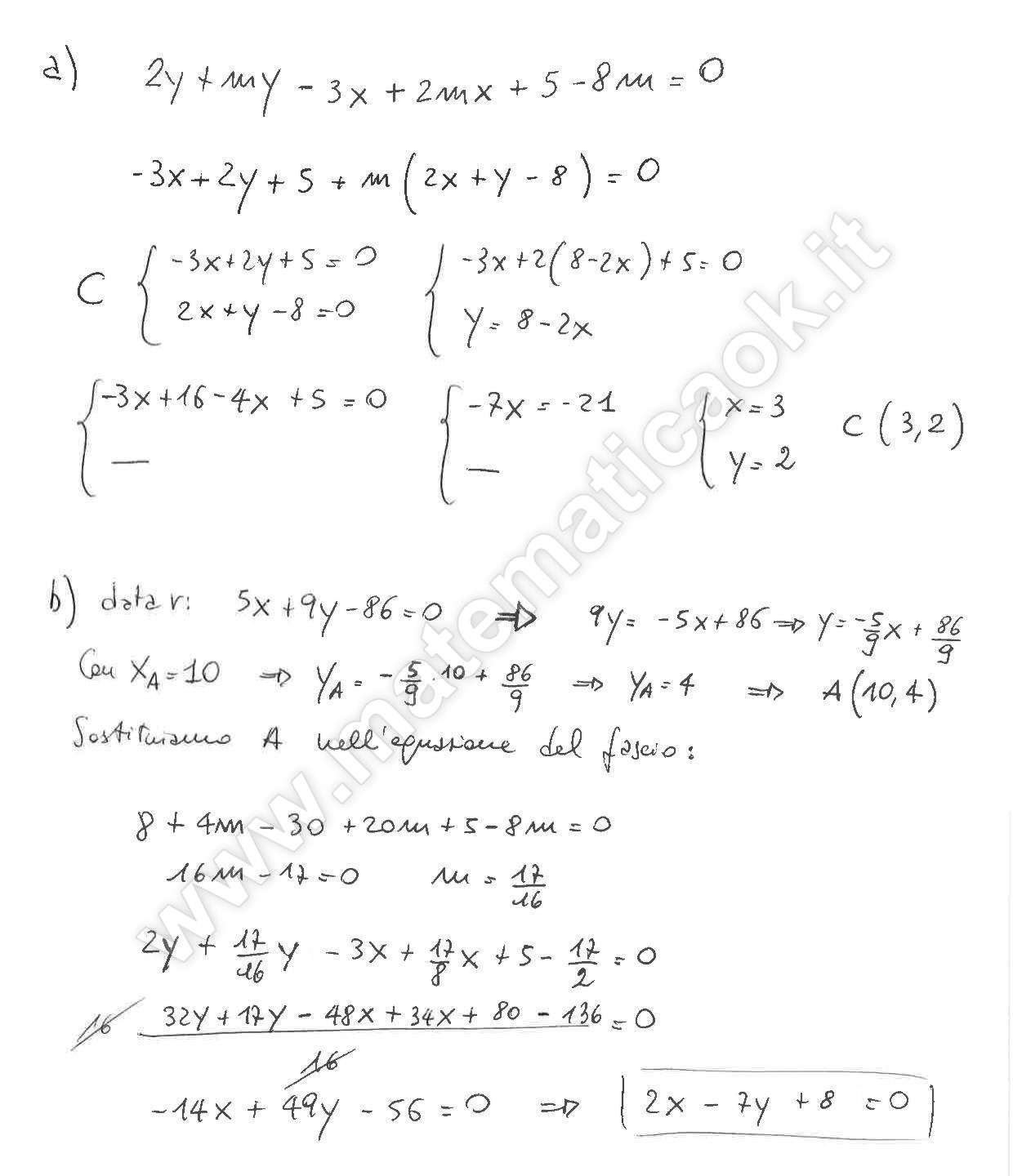
Dato il fascio di rette di equazione: (2 + m) y – (3 – 2m) x + 5 – 8m = 0; determinare:
a) le coordinate del centro C del fascio;
b) la retta del fascio avente in comune con la retta r di equazione 9y+5x-86=0 il punto A di ascissa 10;
c) la retta del fascio perpendicolare a CA ed il suo punto B d’intersezione con la retta r;
d) la misura dell’area del triangolo ABC.

