Month: Gennaio 2016
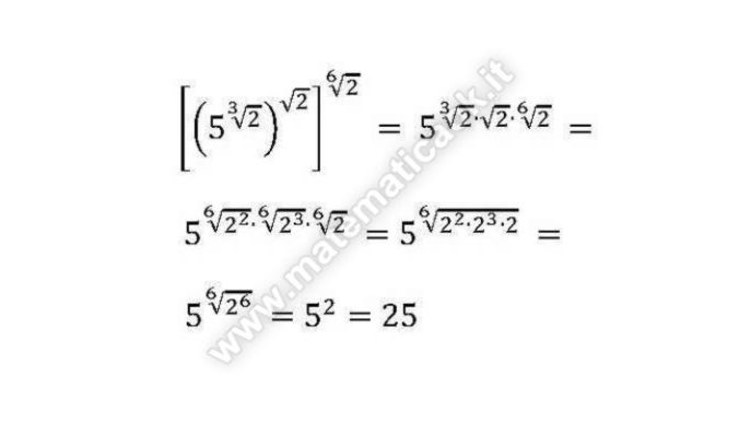
Esercizio 8 – Espressioni sui radicali
Esercizio 7 – Espressioni sui radicali
Esercizio 6 – Espressioni sui radicali
Esercizio 5 – Espressioni sui radicali
Esercizio 4 – Espressioni sui radicali
Esercizio 3 – Espressioni sui radicali
Esercizio 2 – Espressioni sui radicali
Esercizio 48 – Tre rettangoli equivalenti a quadrato – richiesto online da Pasquale
Tre rettangoli (in figura R1 – R2 – R3) hanno le basi lunghe rispettivamente 12 cm, 36 cm e 20 cm e ciascuno di essi è equivalente a un quadrato (Q1) avente il perimetro di 72 cm. Calcola l’area di un quadrato (Q2) avente il perimetro uguale alla somma dei perimetri dei tre rettangoli.
Esercizio 47 – Rettangolo equivalente a quadrato – richiesto online da Pasquale
Un rettangolo, avente le dimensioni lunghe 40 cm ed 80 cm, è equivalente agli 8/9 di un quadrato. Calcola il perimetro del quadrato.









