info@matematicaok.it

μatematicaΘk

… soluzione ai tuoi problemi …

  • Home
  • About Us
  • Contact Us
Main Menu

integrali indefiniti

Esercizio 11 – Integrali immediati

12 Ottobre 2015MatematicaOK Leave a comment
Read More »
analisi matematica, esercizi svolti, integrali indefiniti

Esercizio 10 – Integrali immediati

12 Ottobre 201512 Ottobre 2015MatematicaOK Leave a comment
Read More »
analisi matematica, esercizi svolti, integrali indefiniti

Esercizio 9 – Integrali immediati

12 Ottobre 2015MatematicaOK Leave a comment
Read More »
analisi matematica, esercizi svolti, integrali indefiniti

Esercizio 8 – Integrali immediati

12 Ottobre 2015MatematicaOK Leave a comment
Read More »
analisi matematica, esercizi svolti, integrali indefiniti

Esercizio 7 – Integrali immediati

12 Ottobre 2015MatematicaOK Leave a comment
Read More »
analisi matematica, esercizi svolti, integrali indefiniti

Esercizio 6 – Integrali immediati

12 Ottobre 2015MatematicaOK Leave a comment
Read More »
analisi matematica, esercizi svolti, integrali indefiniti

Esercizio 5 – Integrali immediati

12 Ottobre 201512 Ottobre 2015MatematicaOK Leave a comment
Read More »
analisi matematica, esercizi svolti, integrali indefiniti

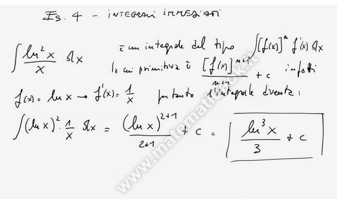
Esercizio 4 – Integrali immediati

12 Ottobre 2015MatematicaOK Leave a comment
Read More »
analisi matematica, esercizi svolti, integrali indefiniti

Esercizio 3 – Integrali immediati

12 Ottobre 2015MatematicaOK Leave a comment
Read More »
analisi matematica, esercizi svolti, integrali indefiniti

Esercizio 2 – Integrali immediati

12 Ottobre 2015MatematicaOK Leave a comment
Read More »
analisi matematica, esercizi svolti, integrali indefiniti

Posts navigation

  • Previous
  • 1
  • 2
  • 3
  • 4
  • 5
  • Next
Maturità 2025

Categorie

algebra (213) analisi matematica (254) aritmetica (4) asintoti (4) calcolo combinatorio (18) cerchio (19) cilindro (14) circonferenza (29) cono (18) continuità (15) cubo (6) derivabilità (11) derivate (23) dimostrazioni (7) disequazioni di primo grado (6) disequazioni esponenziali (17) disequazioni fratte (7) disequazioni goniometriche (16) disequazioni irrazionali (10) disequazioni logaritmiche (9) disequazioni valore assoluto (17) dominio (26) ellisse (10) equazioni di primo grado (16) equazioni di secondo grado (5) equazioni differenziali (12) equazioni esponenziali (7) equazioni goniometriche (25) equazioni letterali (5) equazioni logaritmiche (9) equazioni parametriche (4) esercizi svolti (1125) esponenziali (18) espressioni logaritmiche (18) flessi (4) frazioni algebriche (17) funzioni (21) funzioni composte (3) geometria analitica (107) geometria piana (114) geometria solida (58) goniometria (66) identità goniometriche (11) immaginari forma algebrica (9) immaginari forma trigonometrica (8) insiemi (19) integrali definiti (4) integrali impropri (14) integrali indefiniti (43) INVALSI (259) iperbole (9) limiti - calcolo (43) limiti - verifica (5) logaritmi (19) logaritmi - esponenziali (62) Mac-Laurin (4) Maturità (4) Maturità Scientifica 2016 (5) Maturità Scientifica 2017 (3) monomi (26) numeri complessi (20) parabola (29) parallelepipedo (8) piramide (10) prisma (6) probabilità (8) problemi di massimo (15) punti (9) quadrato (11) quadrilatero (4) radicali (29) razionalizzazione (13) retta (30) rettangolo (12) richiesta online (61) rombo (7) scomposizioni in fattori (15) segmento circolare (4) serie numeriche (16) settore circolare (5) sfera (5) similitudine (4) sistemi di disequazioni (7) sistemi lineari (13) sistemi simmetrici (4) solidi compositi (15) storia della matematica (3) studio di funzione (34) teorema de l'hôpital (10) teorema di cauchy (5) teorema di lagrange (6) teorema di rolle (6) trapezio (10) trasformazione geometrica (33) triangolo equilatero (5) triangolo isoscele (7) triangolo qualsiasi (15) triangolo rettangolo (13) trigonometria (13) VIDEO LEZIONE (5)

Archivi

  • Agosto 2023 (3)
  • Gennaio 2018 (3)
  • Giugno 2017 (32)
  • Marzo 2017 (10)
  • Febbraio 2017 (10)
  • Novembre 2016 (11)
  • Ottobre 2016 (10)
  • Settembre 2016 (14)
  • Agosto 2016 (10)
  • Giugno 2016 (36)
  • Maggio 2016 (32)
  • Aprile 2016 (40)
  • Marzo 2016 (72)
  • Febbraio 2016 (83)
  • Gennaio 2016 (117)
  • Dicembre 2015 (109)
  • Novembre 2015 (255)
  • Ottobre 2015 (274)
  • Settembre 2015 (181)

Articoli recenti

  • Tabella Equivalenze di superficie e volume
  • Tabella Equivalenze lunghezza – peso – capacità
  • Vademecum di scomposizione in fattori di polinomi
  • Es. 246 – Semicirconferenza di diametro AB=2
  • Es. 168 – Triangolo isoscele iscritto in una circonferenza
  • Esercizio 178 – Quadrilatero ABCD inscritto in circonferenza
  • Maturità 2017 – Soluzione Problema 2
  • Maturità Scientifica 2017 – Testi e soluzioni quesiti
  • Maturità Scientifica 2017 – Testo e soluzioni problemi

Categorie

algebra analisi matematica aritmetica asintoti calcolo combinatorio cerchio cilindro circonferenza cono continuità cubo derivabilità derivate dimostrazioni disequazioni di primo grado disequazioni esponenziali disequazioni fratte disequazioni goniometriche disequazioni irrazionali disequazioni logaritmiche disequazioni valore assoluto dominio ellisse equazioni di primo grado equazioni di secondo grado equazioni differenziali equazioni esponenziali equazioni goniometriche equazioni letterali equazioni logaritmiche equazioni parametriche esercizi svolti esponenziali espressioni logaritmiche flessi frazioni algebriche funzioni funzioni composte geometria analitica geometria piana geometria solida goniometria identità goniometriche immaginari forma algebrica immaginari forma trigonometrica insiemi integrali definiti integrali impropri integrali indefiniti INVALSI iperbole limiti - calcolo limiti - verifica logaritmi logaritmi - esponenziali Mac-Laurin Maturità Maturità Scientifica 2016 Maturità Scientifica 2017 monomi numeri complessi parabola parallelepipedo piramide prisma probabilità problemi di massimo punti quadrato quadrilatero radicali razionalizzazione retta rettangolo richiesta online rombo scomposizioni in fattori segmento circolare serie numeriche settore circolare sfera similitudine sistemi di disequazioni sistemi lineari sistemi simmetrici solidi compositi storia della matematica studio di funzione teorema de l'hôpital teorema di cauchy teorema di lagrange teorema di rolle trapezio trasformazione geometrica triangolo equilatero triangolo isoscele triangolo qualsiasi triangolo rettangolo trigonometria VIDEO LEZIONE
Copyright μatematicaΘk. Le informazioni pubblicate possono essere utilizzate liberamente al solo scopo didattico e non a fini commerciali.
Proudly powered by WordPress | Theme: THBusiness By ThemezHut
Il sito non utilizza cookie per fini di profilazione ma consente l’installazione di cookie di terze parti anche profilanti. Cliccando sul bottone rosso, l’utente accetta l’utilizzo dei cookie di terze parti. Per maggiori informazioni è possibile consultare l'informativa cookie completa.Accetta Informativa
Informativa Cookies

Privacy Overview

This website uses cookies to improve your experience while you navigate through the website. Out of these, the cookies that are categorized as necessary are stored on your browser as they are essential for the working of basic functionalities of the website. We also use third-party cookies that help us analyze and understand how you use this website. These cookies will be stored in your browser only with your consent. You also have the option to opt-out of these cookies. But opting out of some of these cookies may affect your browsing experience.
Necessary
Sempre abilitato
Necessary cookies are absolutely essential for the website to function properly. This category only includes cookies that ensures basic functionalities and security features of the website. These cookies do not store any personal information.
Non-necessary
Any cookies that may not be particularly necessary for the website to function and is used specifically to collect user personal data via analytics, ads, other embedded contents are termed as non-necessary cookies. It is mandatory to procure user consent prior to running these cookies on your website.
ACCETTA E SALVA